2022年上海成考高起点《数学》重要知识点(6)
2022年上海成考高起点《数学》重要知识点(6)
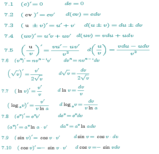
导数与微分

本文标签:上海成考 理数 2022年上海成考高起点《数学》重要知识点(6)
转载请注明:文章转载自(http://www.shck.sh.cn/)
⊙小编提示:添加【上海成考网】招生老师微信,即可了解2024年上海成考政策资讯、成考报名入口、准考证打印入口、成绩查询时间以及领取历年真题资料、个人专属备考方案等相关信息!

(添加“上海成考网”招生老师微信,在线咨询报名报考等相关问题)
【免责声明】
- 1、由于各方面情况的调整与变化,本网提供的考试信息仅供参考,考试信息以考试院及院校官方发布的信息为准。
- 2、本网信息来源为其他媒体的稿件转载,免费转载出于非商业性学习目的,版权归原作者所有,如有内容与版权问题等请与本站联系。联系邮箱:952056566@qq.com
-
上海成考-在线咨询
-
扫一扫,领取备考方案,请添加客服老师






